
Simulink
Ahoj,
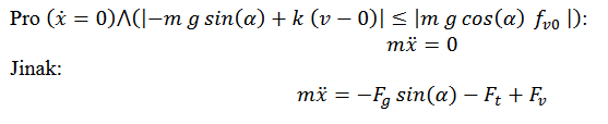
mám vykreslit průběh brzdné dráhy automobilu pro různé 3 sklony(rovina, do kopce 30°, z kopce 30°). Ovšem pokud se auto zastaví, mám rozdnodnout, zda dané síly(gravitační síla+síla větru - uniform random number) přemohou třecí sílu a auto se zase rozpohybuje, či naopak.
Nevím, jak v simulinku vyřešit daný přechod, čili pokud třeba auto jede na rovině, v daném okamžiku dosáhne přibližně nulové rychlosti(použiji blok dead zone, aby to dával na nulu) a chci ověřit, zda v tomto okamžiku auto zůstane stát, či nikoliv.
Mají to být dvě diferenciální rovnice, mezi kterými má být rozhodovací logika pro přepínání.
Poradili byste mi prosím, jak na to?
Na to je Matlab forum.
Vyrieš to jednou vetou: Auto nabúralo a zastalo stáť na mieste.
To by asi neprošlo.